Black Seed Oil Boosts Healing Power of Honey
Synergistic effect of honey and Nigella sativa on wound healing in rats
Acta Cir Bras. 2018 Jun;33(6):518-523
BUY Concentrated Propolis in Veggie Capsules
PURPOSE:
To investigate the therapeutic potential of honey, Nigella sativa (N. sativa) and their combination in rat model of excisional wound healing.
METHODS:
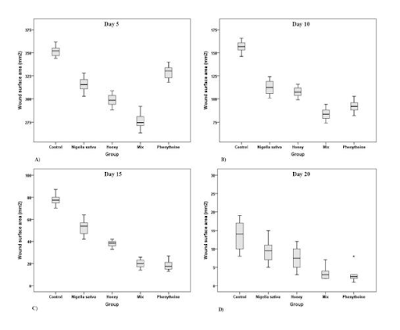
A circular excision wound was established in the back region of 50 Wistar rats. Subsequently, they were divided into 5 groups and daily topical administration of lanolin in the control group, honey in the honey group, cold-pressed N. sativa seed oil in the N. sativa groups, mix of 1:1 ratio of honey and N. sativa seed oil in the mix group, and phenytoin cream in the phenytoin group were used. Then, wound surface areas were evaluated using digital camera immediately after the injury and at post excision days 5, 10, 15 and 20.
RESULTS:
Significant reduction in wound surface area was observed within and between the groups (P < 0.001). In the post excision days 5, 10, 15 and 20 the wound surface areas in the mix group were significantly lower than the other groups followed by the phenytoin, honey, N. sativa, and control groups.
CONCLUSION:
The wound healing may be improved and accelerated by using topical solutions of honey, N. sativa seed oil and especially their mixture.
———–
Narrated Abu Huraira (may Allah be pleased with him): I heard Allah’s Apostle (the Prophet Muhammad) saying: “There is healing in Black Cumin for all diseases except death.” (Sahih Bukhari)
